当前位置:
歌谱简谱网
>
二胡谱
> 板胡-小桃红
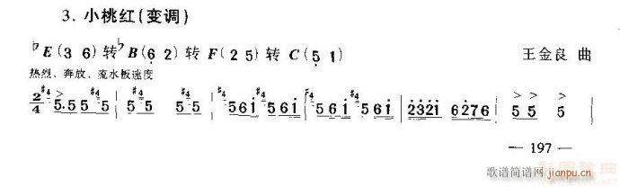
板胡-小桃红
艺术家/歌手/词曲:
点击:
(网络)
其他相关
简谱/曲谱
[二胡谱]板胡-小桃红
[古筝扬琴谱]小桃红 未知
[三字歌谱]小桃红(1-2) 器乐曲
[三字歌谱]小桃红(2-1) 器乐曲
[三字歌谱]小桃红(2-2) 器乐曲
[笛萧谱]小桃红
[三字歌谱]小桃红
[其他]小桃红
[三字歌谱]广东音乐:小桃红(简谱)
[其他乐谱]小桃红 民乐类 古筝 罗九香
[其他乐谱]小桃红 民乐类 扬琴 广东汉乐筝曲
[其他乐谱]小桃红 民乐类 古筝 史兆元
[二胡谱]D弦情(二胡曲谱}
[二胡谱]白狐2
[二胡谱]欢乐的胡琴节1
[二胡谱]欢乐的胡琴节2
[二胡谱]欢乐的胡琴节3
返回歌谱简谱网首页
音乐图书