当前位置:
歌谱简谱网
>
二胡谱
> 板胡-影调
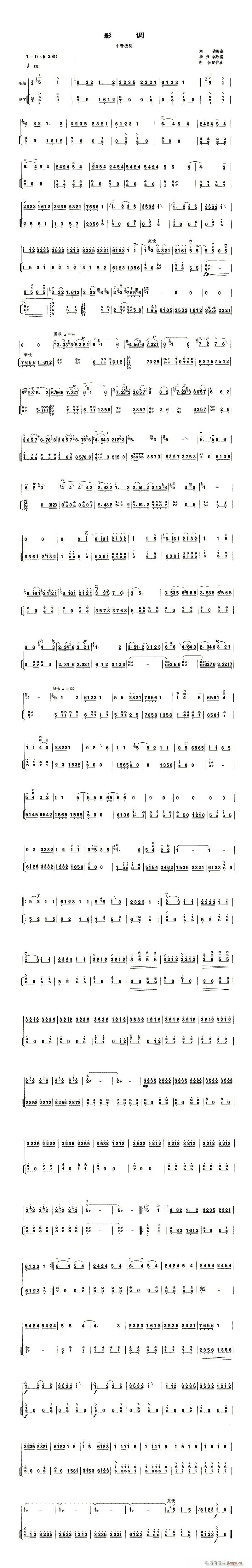
板胡-影调
艺术家/歌手/词曲:
点击:
(网络)
其他相关
简谱/曲谱
[二胡谱]板胡-影调
[其他]影调
[其他]影调
[其他乐谱]影调 民乐类 二胡 李秀琪、刘钧编曲
[八字歌谱]影调:白娘子唱段(二人转) 郑桂云
[其他乐谱]唐山皮影调 民乐类 二胡 赵砚臣编曲
[总谱]地道战板胡
[六字歌谱]三板胡胡腔_《西厢》(二人转) 秦志平李晓霞
[五字歌谱]二板胡胡腔《西厢》 董艳梅王悍东
[七字歌谱]头板胡胡腔《杨八郎探母》《蓝桥》选段(二人转) 董玮韩子平
[总谱]幸福年之板胡分谱
[总谱]武术之板胡分谱
[二胡谱]D弦情(二胡曲谱}
[二胡谱]白狐2
[二胡谱]欢乐的胡琴节1
[二胡谱]欢乐的胡琴节2
[二胡谱]欢乐的胡琴节3
返回歌谱简谱网首页
音乐图书