当前位置:
歌谱简谱网
>
六字歌谱
> 白茫茫的旷野(前苏联)
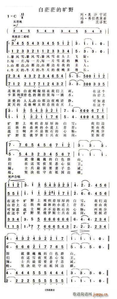
白茫茫的旷野(前苏联)
艺术家/歌手/词曲: 瓦莲金娜
点击:
(瓦莲金娜)
其他相关
简谱/曲谱
[六字歌谱]白茫茫的旷野(前苏联)
[十字及以上]白茫茫的旷野.JPG
[小提琴谱]雪夜白茫茫
[六字歌谱]白茫茫雾腾腾
[九字歌谱]在那白茫茫的田野上
[九字歌谱]在那白茫茫的原野上 未知
[六字歌谱]以利来的旷野
[五字歌谱]旷野有喊声 未知
[四字歌谱]旷野呼声(美声版) 未知
[四字歌谱]旷野呼声(通俗版) 未知
[四字歌谱]旷野呼声 未知
[三字歌谱]旷野路(合唱谱)
[六字歌谱]今夜春暖花开 孙宇
[六字歌谱]苗岭连北京2
[六字歌谱]星星眨着眼睛 词曲汪同贵
[六字歌谱]你是风我是雨 马绍斌作曲
[六字歌谱]同学姐妹兄弟 马绍斌作曲
返回歌谱简谱网首页
音乐图书