当前位置:
歌谱简谱网
>
二字歌谱
> 心船
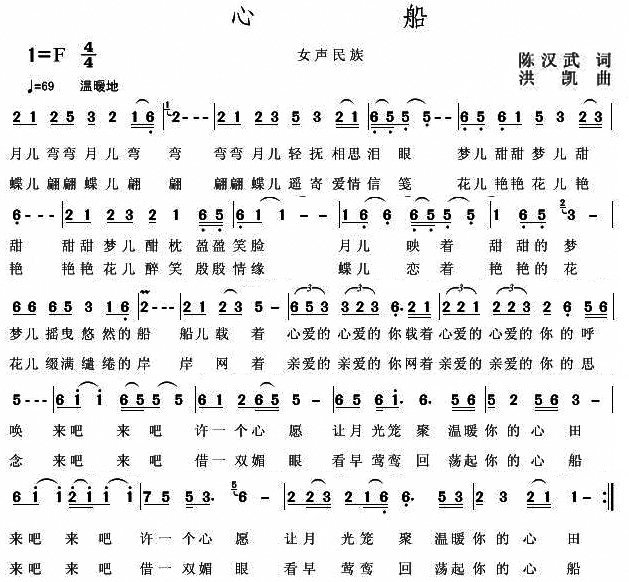
心船
艺术家/歌手/词曲:
陈汉武词洪凯曲
点击:
(音乐生活报)
其他相关
简谱/曲谱
[二字歌谱]心船 陈汉武词洪凯曲
[二字歌谱]雪凛 《真封神》游戏音乐
[二字歌谱]想念
[二字歌谱]塔娜
[二字歌谱]芦花
[二字歌谱]飞扬 唐尧麟
返回歌谱简谱网首页
音乐图书