当前位置:
歌谱简谱网
>
六字歌谱
> 两岸双峰之间(俄)
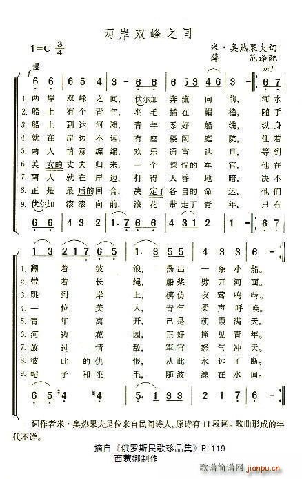
两岸双峰之间(俄)
艺术家/歌手/词曲: 瓦莲金娜
点击:
(瓦莲金娜)
其他相关
简谱/曲谱
[六字歌谱]两岸双峰之间(俄)
[五字歌谱]美丽的双峰
[六字歌谱]在你和我之间(儿童歌)[合唱曲谱] 未知
[吉他谱]我们之间 棒棒堂
[六字歌谱]在你和我之间 未知
[四字歌谱]我们之间 棒棒堂
[合唱谱]在你和我之间(儿童歌)
[四字歌谱]我们之间 棒棒堂
[六字歌谱]在你和我之间(儿童歌)
[吉他谱]我们之间 棒棒堂
[吉他谱]我们之间 棒棒堂
[三字歌谱]两岸情 未知
[六字歌谱]今夜春暖花开 孙宇
[六字歌谱]苗岭连北京2
[六字歌谱]星星眨着眼睛 词曲汪同贵
[六字歌谱]你是风我是雨 马绍斌作曲
[六字歌谱]同学姐妹兄弟 马绍斌作曲
返回歌谱简谱网首页
音乐图书