当前位置:
歌谱简谱网
>
三字歌谱
> 稠李花(前苏联)
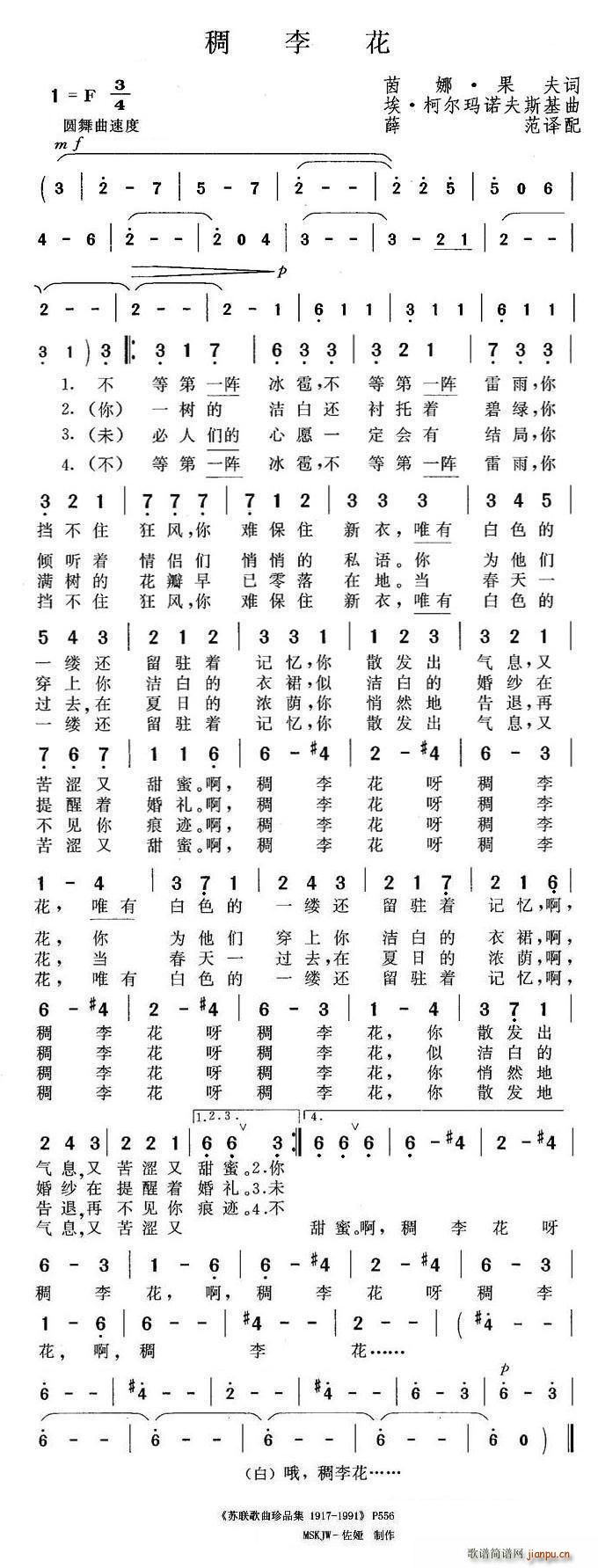
稠李花(前苏联)
艺术家/歌手/词曲: 瓦莲金娜
点击:
(瓦莲金娜)
其他相关
简谱/曲谱
[三字歌谱]稠李花(前苏联)
[三字歌谱]亲爱的(《AA制生活》片尾曲) 羽泉
[三字歌谱]雪山人 齐旦布
[三字歌谱]薇林花
[三字歌谱]思乡曲 刘震宇
[三字歌谱]啊哩哩(线谱)
返回歌谱简谱网首页
音乐图书