当前位置:
歌谱简谱网
>
六字歌谱
> 茶炊-火绳枪(俄)
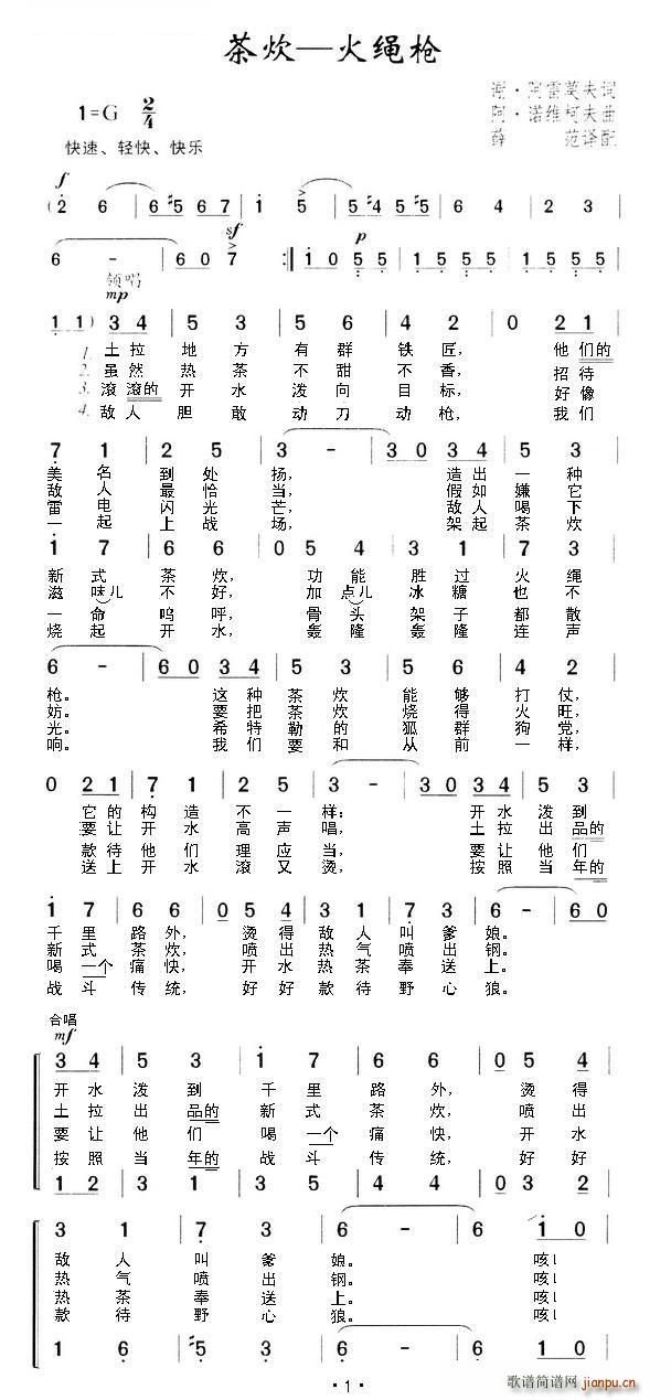
茶炊-火绳枪(俄)
艺术家/歌手/词曲: 瓦莲金娜
点击:
(瓦莲金娜)
其他相关
简谱/曲谱
[六字歌谱]茶炊-火绳枪(俄)
[七字歌谱]茶炊-火绳枪1
[七字歌谱]茶炊-火绳枪2
[五字歌谱]我心爱的枪 马国光
[十字及以上]当你的秀发拂过我的枪 未知
[七字歌谱]转盘枪和手榴弹 未知
[五字歌谱]扛起革命枪 未知
[七字歌谱]我擦好了一支枪 部队歌曲
[五字歌谱]扛起革命枪 李文章
[五字歌谱]杠起革命枪
[八字歌谱]尕马儿骑上枪背上(尕马儿令)
[五字歌谱]听党指挥枪
[六字歌谱]今夜春暖花开 孙宇
[六字歌谱]苗岭连北京2
[六字歌谱]星星眨着眼睛 词曲汪同贵
[六字歌谱]你是风我是雨 马绍斌作曲
[六字歌谱]同学姐妹兄弟 马绍斌作曲
返回歌谱简谱网首页
音乐图书