当前位置:
歌谱简谱网
>
四字歌谱
> 北方民谣
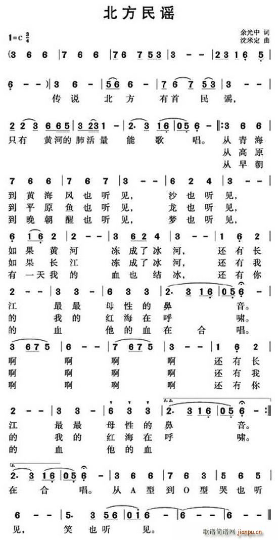
北方民谣
艺术家/歌手/词曲: 余光中
点击:
(网络)
其他相关
简谱/曲谱
[四字歌谱]北方民谣
[二字歌谱]北方(电视剧《钢铁年代》片尾曲) 汤灿
[五字歌谱]我从北方来(写给长江支队及其后代)
[唢呐谱]民谣
[笙-琵琶谱]民谣
[吉他谱]北方的狼 齐秦
[六字歌谱]北方的天空下 刀郎
[九字歌谱]我的梦在飘雪的北方 未知
[四字歌谱]北方的狼 未知
[九字歌谱]我的梦在飘雪的北方 未知
[四字歌谱]北方的狼 齐秦
[六字歌谱]北方的天空下
[四字歌谱]过年好2
[四字歌谱]心中的星 韦唯
[四字歌谱]悠悠情深 白玛
[四字歌谱]过年好1
[四字歌谱]封心锁爱 孙艳
返回歌谱简谱网首页
音乐图书