当前位置:
歌谱简谱网
>
三字歌谱
> 爱情花
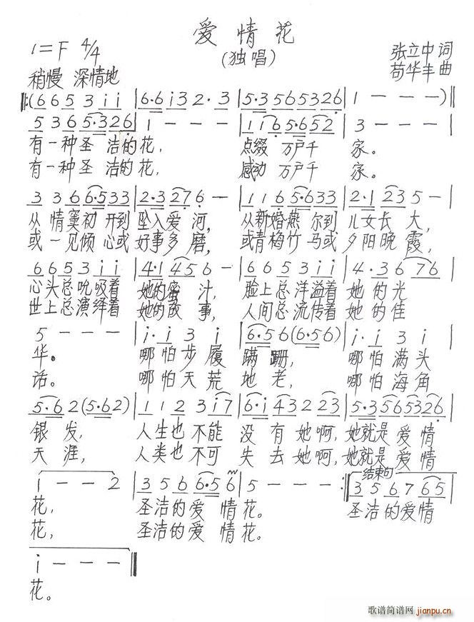
爱情花
艺术家/歌手/词曲: 张立中
点击:
(网络)
其他相关
简谱/曲谱
[三字歌谱]爱情花
[六字歌谱]圣洁的爱情花 王孝慈
[七字歌谱]金银花,爱情花 周诗萍 词 张朱论 曲
[五字歌谱]爱情鸽子花(佟文西词 刘启明曲)
[二字歌谱]爱情[彩] 刘文正、邓丽君
[二字歌谱]爱情[彩](修改) 刘文正、邓丽君
[钢琴谱]爱情 莫文蔚
[吉他谱]爱情 未知
[吉他谱]为了爱情(杨坤) 未知
[吉他谱]为了爱情 未知
[吉他谱]爱情 未知
[吉他谱]爱情 (莫文蔚 ) 未知
[三字歌谱]亲爱的(《AA制生活》片尾曲) 羽泉
[三字歌谱]雪山人 齐旦布
[三字歌谱]薇林花
[三字歌谱]思乡曲 刘震宇
[三字歌谱]啊哩哩(线谱)
返回歌谱简谱网首页
音乐图书