当前位置:
歌谱简谱网
>
八字歌谱
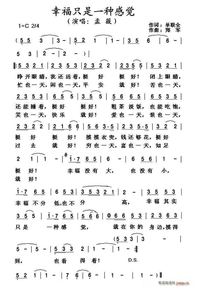
> 幸福只是一种感觉 电视剧 知足常乐 片尾曲
幸福只是一种感觉 电视剧 知足常乐 片尾曲
艺术家/歌手/词曲:
孟薇
单联全
点击:
(木已黄)
其他相关
简谱/曲谱
[七字歌谱]幸福是一种感觉(李湘词 清泉曲) 寻求合作
[八字歌谱]幸福只是一种感觉 电视剧 知足常乐 片尾曲 孟薇
[十字及以上]幸福只是一种感觉(剧《我和丈母娘的十年战争》片尾曲)【彩谱】 孟微
[吉他谱]感觉 (温兆伦) 未知
[吉他谱]感觉 未知
[二字歌谱]感觉
[四字歌谱]给我感觉 张惠妹
[吉他谱]感觉 温兆伦
[二字歌谱]感觉
[四字歌谱]给我感觉
[四字歌谱]给我感觉 张惠妹
[吉他谱]感觉 温兆伦
[八字歌谱]我好想你(线谱)
[八字歌谱]泸沽湖我们的家园 纳金、卓玛、七珠
[八字歌谱]山里的汉子都是山 刘欢
[八字歌谱]故乡,美丽的家园
[八字歌谱]思念是我手中的线(电视剧《一日夫妻百日恩》主题曲) 侃侃
返回歌谱简谱网首页
音乐图书