当前位置:
歌谱简谱网
>
四字歌谱
> 歌声响起
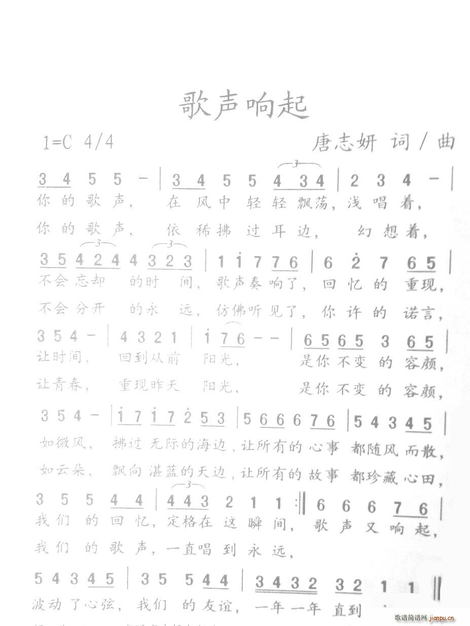
歌声响起
艺术家/歌手/词曲: 唐志妍 唐志妍
点击:
(唐志妍)
其他相关
简谱/曲谱
[四字歌谱]歌声响起
[钢琴谱]歌声响起,春天又到 外国民歌
[钢琴谱]外国民歌:歌声响起,春天又到 未知
[钢琴谱]外国民歌:歌声响起,春天又到 未知
[四字歌谱]你的歌声
[四字歌谱]你的歌声
[二胡谱]掌声响起 未知
[二胡谱]掌声响起 未知
[二胡谱]掌声响起[二胡曲谱] 未知
[钢琴谱]掌声响起来 梁静茹
[吉他谱]掌声响起 未知
[吉他谱]掌声响起 凤飞飞
[四字歌谱]过年好2
[四字歌谱]心中的星 韦唯
[四字歌谱]悠悠情深 白玛
[四字歌谱]过年好1
[四字歌谱]封心锁爱 孙艳
返回歌谱简谱网首页
音乐图书