当前位置:
歌谱简谱网
>
九字歌谱
> [俄] 美丽的萨哈姑娘
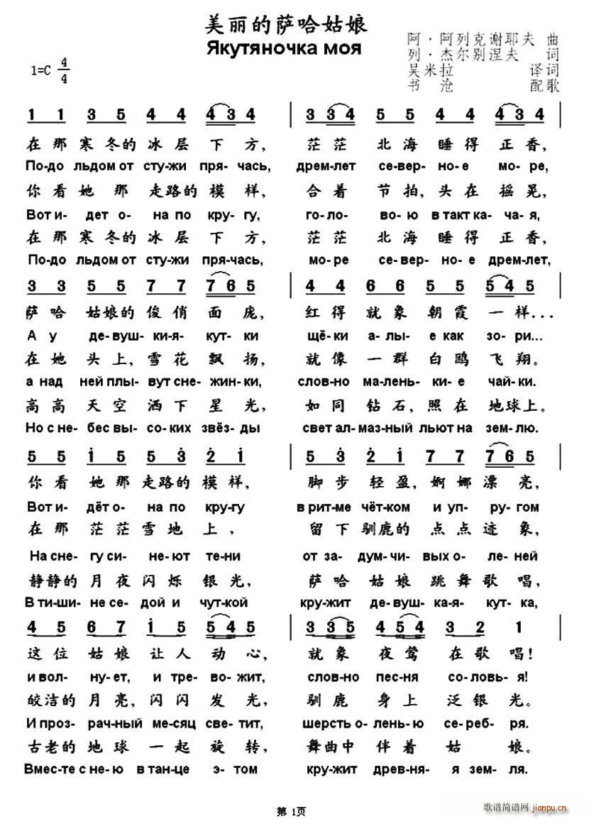
[俄] 美丽的萨哈姑娘
艺术家/歌手/词曲:
点击:
(网络)
其他相关
简谱/曲谱
[九字歌谱][俄] 美丽的萨哈姑娘
[吉他谱]美丽的姑娘 未知
[五字歌谱]美丽的姑娘(新疆民歌)[合唱曲谱] 未知
[五字歌谱]美丽的姑娘 未知
[五字歌谱]美丽的姑娘
[五字歌谱]美丽的姑娘 容中尔甲
[合唱谱]美丽的姑娘(新疆民歌)
[五字歌谱]美丽的姑娘
[吉他谱]美丽的姑娘 朴树
[五字歌谱]美丽的姑娘(新疆民歌)
[五字歌谱]美丽的姑娘
[五字歌谱]美丽的姑娘 真知
[九字歌谱]我的家园(李俊伟词 鄂矛曲)
[九字歌谱]祖国春秋(崔吉焘词 李德江曲)
[九字歌谱]我在念着你我的爱人 央金兰泽
[九字歌谱]我今站在主的言语上
[九字歌谱]青年青年教会的希望
返回歌谱简谱网首页
音乐图书