当前位置:
歌谱简谱网
>
六字歌谱
> 马背上的姑娘
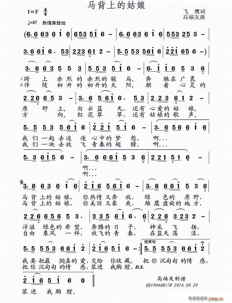
马背上的姑娘
艺术家/歌手/词曲: 飞鹰
点击:
(车里子)
其他相关
简谱/曲谱
[四字歌谱]马背姑娘 律醉清球
[四字歌谱]马背姑娘周善儒
[六字歌谱]马背上的姑娘
[八字歌谱]马背上的牧羊姑娘
[八字歌谱]马背上的牧羊姑娘 小言
[六字歌谱]马背上的骑手 德德玛
[四字歌谱]马背天涯 颂今音乐
[六字歌谱]马背上的骑手
[六字歌谱]马背上的祝福 胡松华
[四字歌谱]马背摇篮 李谷一
[六字歌谱]马背上的柔情 王磊
[六字歌谱]马背上的回忆 纯音乐
[六字歌谱]今夜春暖花开 孙宇
[六字歌谱]苗岭连北京2
[六字歌谱]星星眨着眼睛 词曲汪同贵
[六字歌谱]你是风我是雨 马绍斌作曲
[六字歌谱]同学姐妹兄弟 马绍斌作曲
返回歌谱简谱网首页
音乐图书