当前位置:
歌谱简谱网
>
四字歌谱
> 告别混世
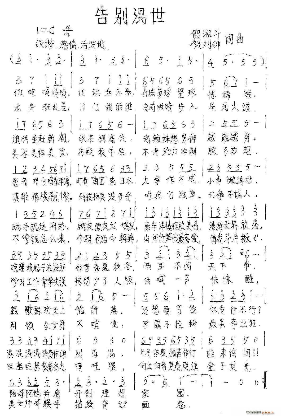
告别混世
艺术家/歌手/词曲: 贺湘斗
点击:
(湘斗)
其他相关
简谱/曲谱
[四字歌谱]告别混世
[七字歌谱]电视剧《混世奇才庞振坤》片尾曲 陈真
[钢琴谱]告别(肖邦) 未知
[二字歌谱]告别 俄文原唱
[二字歌谱]告别(高清晰图)
[其他乐谱]告别军营[其他曲谱] 未知
[其他乐谱]不要告别[其他曲谱] 未知
[萨克斯谱]告别时刻 (欧美流行音乐) 萨克斯曲谱
[钢琴谱]告别时刻 未知
[吉他谱]告别的年代 未知
[吉他谱]不要告别(超载乐队) 未知
[吉他谱]告别军营
[四字歌谱]过年好2
[四字歌谱]心中的星 韦唯
[四字歌谱]悠悠情深 白玛
[四字歌谱]过年好1
[四字歌谱]封心锁爱 孙艳
返回歌谱简谱网首页
音乐图书