当前位置:
歌谱简谱网
>
八字歌谱
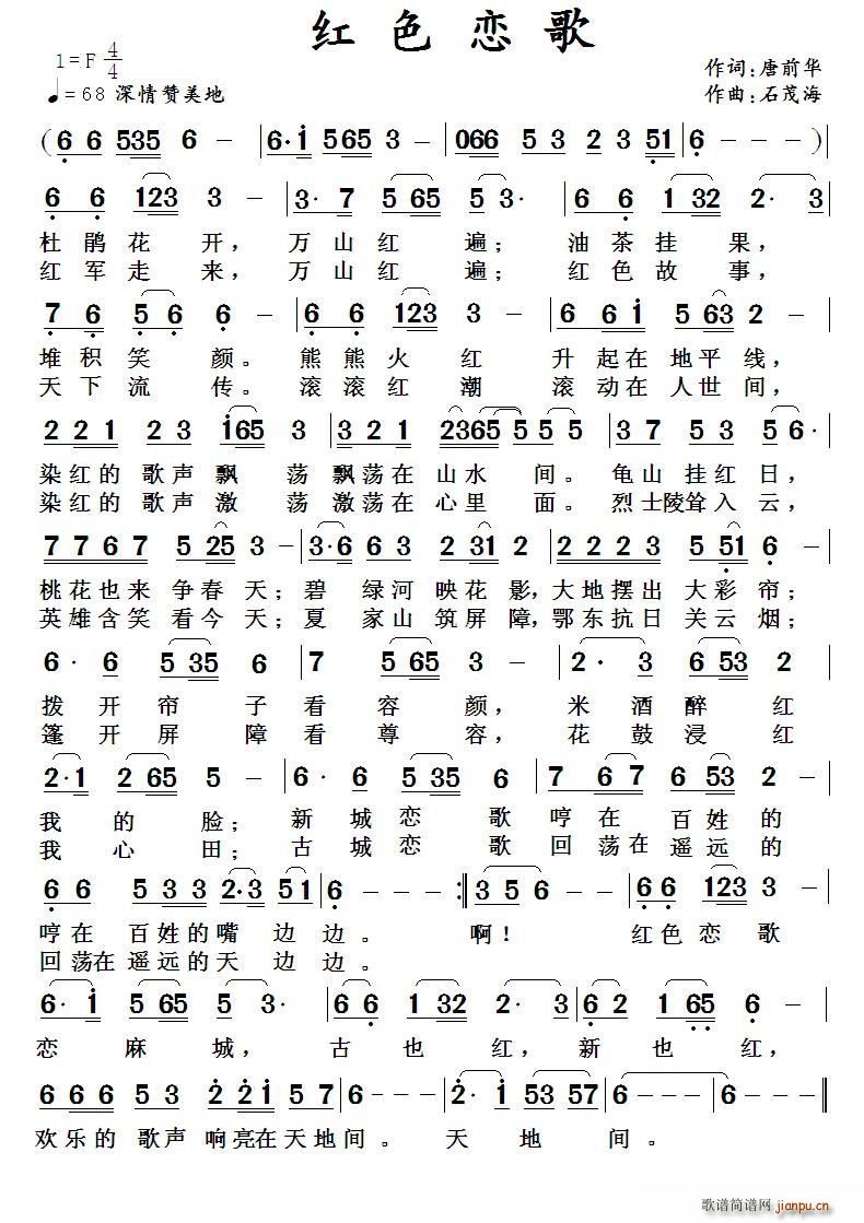
> 红 色 恋 歌 (作词 唐前华 作曲 )
红 色 恋 歌 (作词 唐前华 作曲 )
艺术家/歌手/词曲: 石茂海 唐前华
点击:
(石茂海)
其他相关
简谱/曲谱
[八字歌谱]红 色 恋 歌 (作词 唐前华 作曲 )
[其他]兰色生死恋
[三字歌谱]红之恋
[三字歌谱]红之恋
[五字歌谱]红土地之恋
[二字歌谱]红歌
[三字歌谱]红歌红(李如会词 姜春阳曲)
[九字歌谱]《白 碱 滩 恋 歌》赵大为词 曲
[三字歌谱]灯红歌
[五字歌谱]永远的红歌
[五字歌谱]红歌中国行 丁晓红
[四字歌谱]我爱红歌
[八字歌谱]我好想你(线谱)
[八字歌谱]泸沽湖我们的家园 纳金、卓玛、七珠
[八字歌谱]山里的汉子都是山 刘欢
[八字歌谱]故乡,美丽的家园
[八字歌谱]思念是我手中的线(电视剧《一日夫妻百日恩》主题曲) 侃侃
返回歌谱简谱网首页
音乐图书