当前位置:
歌谱简谱网
>
五字歌谱
> 老哥爱小妹
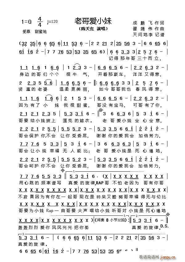
老哥爱小妹
艺术家/歌手/词曲:
陈天红
成鹏飞
点击:
(天问地李)
其他相关
简谱/曲谱
[五字歌谱]老哥爱小妹 陈天红
[四字歌谱]老兵老哥
[四字歌谱]老哥老妹 张琳
[六字歌谱]《憨憨的土老哥》 荷花词 晓辉曲
[四字歌谱]矿工老哥
[十字及以上]有一位农民老哥他这么说
[吉他谱]小妹 未知
[四字歌谱]我的小妹
[四字歌谱]我的小妹 王小青
[二字歌谱]《小妹》白术词 曲
[七字歌谱]哥想妹来妹爱哥
[四字歌谱]尊老爱老
[五字歌谱]闪亮的酒杯 郭瓦•加毛吉
[五字歌谱]丢戒指(简易版)线谱
[五字歌谱]歌唱焦裕禄(吕远词曲)
[五字歌谱]草原の彼方 上妻宏光
[五字歌谱]海拉尔之恋 上官燕
返回歌谱简谱网首页
音乐图书