当前位置:
歌谱简谱网
>
八字歌谱
> 再见吧 我的童年
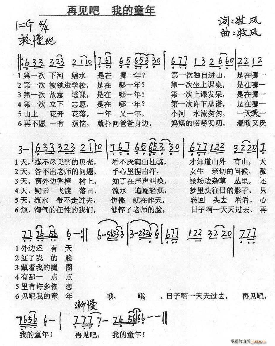
再见吧 我的童年
艺术家/歌手/词曲: 牧风 牧风
点击:
(网络)
其他相关
简谱/曲谱
[四字歌谱]再见童年 子雨
[八字歌谱]再见吧 我的童年
[七字歌谱]再见,我的童年
[十字及以上]再见 童年的爱(王国潼订谱)
[笛箫谱]童年 紫剑一品箫
[二胡谱]童年 未知
[二胡谱]童年 未知
[二胡谱]童年[二胡曲谱] 未知
[钢琴谱]童年 班得瑞
[钢琴谱]童年 罗大佑
[钢琴谱]童年 琴辉
[吉他谱]童年 未知
[八字歌谱]我好想你(线谱)
[八字歌谱]泸沽湖我们的家园 纳金、卓玛、七珠
[八字歌谱]山里的汉子都是山 刘欢
[八字歌谱]故乡,美丽的家园
[八字歌谱]思念是我手中的线(电视剧《一日夫妻百日恩》主题曲) 侃侃
返回歌谱简谱网首页
音乐图书