当前位置:
歌谱简谱网
>
六字歌谱
> 布琼尼进行曲
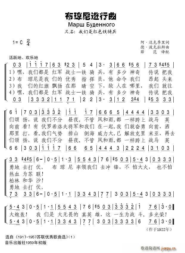
布琼尼进行曲
艺术家/歌手/词曲:
点击:
(瓦莲金娜)
其他相关
简谱/曲谱
[六字歌谱]布琼尼进行曲
[六字歌谱]布琼尼骑兵队 未知
[十字及以上]布琼尼骑兵队{前苏联]
[钢琴谱]进行曲 苗波
[钢琴谱]进行曲(贝利尼) 未知
[钢琴谱]进行曲(威尔第、选自歌剧《阿依达》)[钢琴曲谱] 未知
[钢琴谱]进行曲(贝利尼)[钢琴曲谱] 未知
[钢琴谱]进行曲(威尔第、选自歌剧《阿依达》)
[钢琴谱]进行曲(贝利尼)
[吉他谱]进行曲(独奏曲) 未知
[其他]进行曲(独奏曲)
[三字歌谱]进行曲
[六字歌谱]今夜春暖花开 孙宇
[六字歌谱]苗岭连北京2
[六字歌谱]星星眨着眼睛 词曲汪同贵
[六字歌谱]你是风我是雨 马绍斌作曲
[六字歌谱]同学姐妹兄弟 马绍斌作曲
返回歌谱简谱网首页
音乐图书