当前位置:
歌谱简谱网
>
五字歌谱
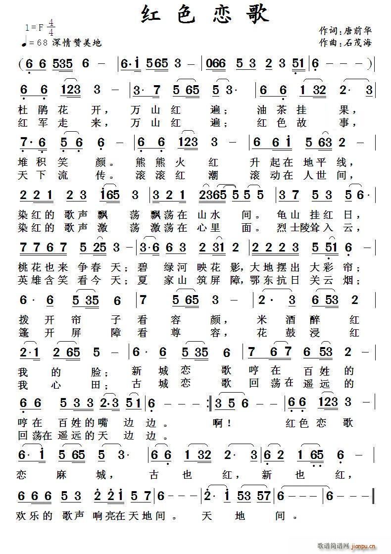
> 红色恋歌(唐前华词 石茂海曲)
红色恋歌(唐前华词 石茂海曲)
艺术家/歌手/词曲: 石茂海 唐前华
点击:
(网络)
其他相关
简谱/曲谱
[四字歌谱]红色恋歌(正谱)
[五字歌谱]红色恋歌(唐前华词 石茂海曲)
[其他]恋歌
[二字歌谱]恋歌
[十字及以上]红色的太行 红色的武乡
[九字歌谱]红色的河哟红色的宝
[五字歌谱]红色的美丽 刘媛媛
[吉他谱]红色气球 李志
[四字歌谱]红色战士 未知
[七字歌谱]红色江山打出来(江西兴国山歌) 余忠录
[五字歌谱]红色的美丽 刘媛媛
[五字歌谱]红色航空兵
[五字歌谱]闪亮的酒杯 郭瓦•加毛吉
[五字歌谱]丢戒指(简易版)线谱
[五字歌谱]歌唱焦裕禄(吕远词曲)
[五字歌谱]草原の彼方 上妻宏光
[五字歌谱]海拉尔之恋 上官燕
返回歌谱简谱网首页
音乐图书