当前位置:
歌谱简谱网
>
六字歌谱
> 舞龙的中国娃
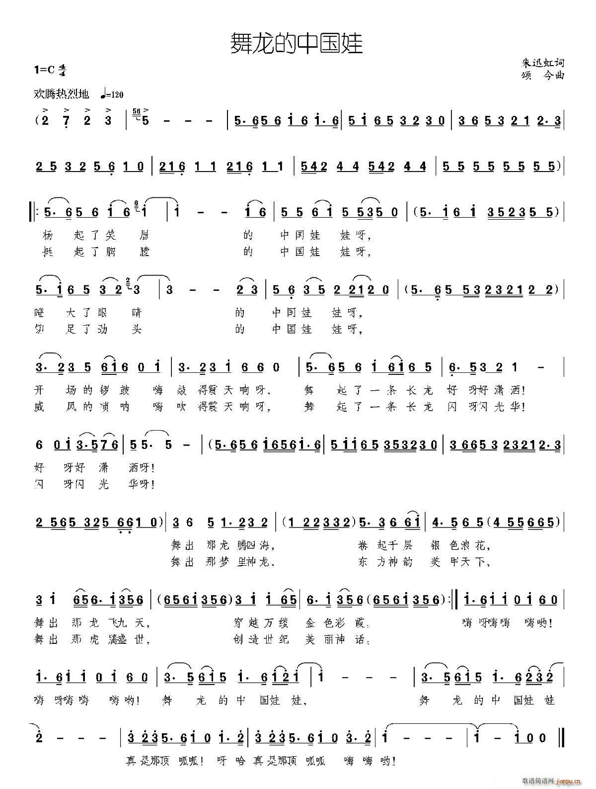
舞龙的中国娃
艺术家/歌手/词曲: 朱迅虹
点击:
(网络)
其他相关
简谱/曲谱
[六字歌谱]舞龙的中国娃
[三字歌谱]中国娃 解晓东
[三字歌谱]中国娃 解晓东
[三字歌谱]中国娃 未知
[三字歌谱]中国娃 儿童歌曲
[三字歌谱]中国娃 解晓东
[三字歌谱]中国娃 解晓东
[三字歌谱]中国娃(《五彩戏娃》主题曲) 领合唱
[三字歌谱]中国娃(《五彩戏娃》主题曲)
[三字歌谱]中国娃
[三字歌谱]中国娃
[三字歌谱][原创]《中国娃》(杨显群词 水云间曲)
[六字歌谱]今夜春暖花开 孙宇
[六字歌谱]苗岭连北京2
[六字歌谱]星星眨着眼睛 词曲汪同贵
[六字歌谱]你是风我是雨 马绍斌作曲
[六字歌谱]同学姐妹兄弟 马绍斌作曲
返回歌谱简谱网首页
音乐图书