当前位置:
歌谱简谱网
>
四字歌谱
> 顺心如意
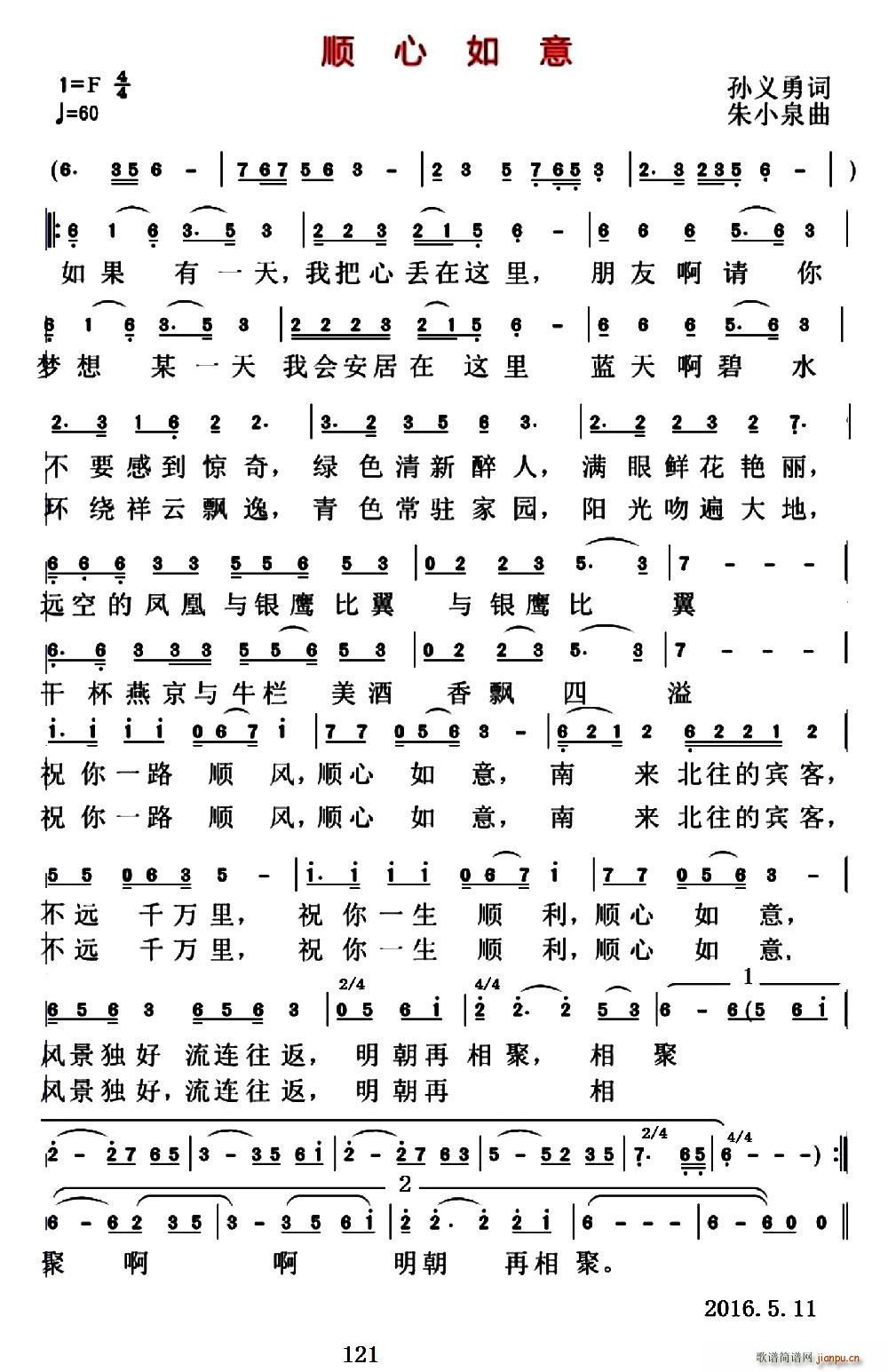
顺心如意
艺术家/歌手/词曲: 张义勇
点击:
(网络)
其他相关
简谱/曲谱
[四字歌谱]顺心如意
[四字歌谱]九嶷恋歌 宋祖英
[四字歌谱]小鸡过河
[四字歌谱]龙岗之歌 范修奎 词 张朱论 曲
[四字歌谱][民通] 水墨泰州 陈雷词 雲飛揚曲
[四字歌谱]小鸡快跑
返回歌谱简谱网首页
音乐图书