当前位置:
歌谱简谱网
>
九字歌谱
> 爱让人思念给人烦恼
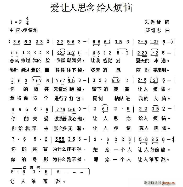
爱让人思念给人烦恼
艺术家/歌手/词曲: 刘秀琴
点击:
(车里子)
其他相关
简谱/曲谱
[九字歌谱]爱让人思念给人烦恼
[十字及以上]爱,让人恩念、给人烦恼 刘秀琴词郑维忠曲
[吉他谱]你在烦恼什么 苏打绿
[四字歌谱]我的烦恼简谱 六哲
[四字歌谱]爱的思念 央金兰泽
[四字歌谱]爱的思念 央金兰泽
[四字歌谱]爱的思念 央金兰泽
[十字及以上]有个爱你的人不容易- (《夏洛特烦恼》主题曲 ) 那英
[九字歌谱]我昼夜常思念你的爱 未知
[其他]我昼夜常思念你的爱
[七字歌谱]761思念主爱 未知
[九字歌谱]我昼夜常思念你的爱
[九字歌谱]城里的月光-认证谱 许美静
[九字歌谱]啊,思南心中的思南 李宏天词,喻蓉曲
[九字歌谱]又是春风轻飏的时候
[九字歌谱]阿尔汉布拉宫的回忆 FranciscoTarrega
[九字歌谱]绿色是一支温馨的歌
返回歌谱简谱网首页
音乐图书