当前位置:
歌谱简谱网
>
三字歌谱
> 写字乐
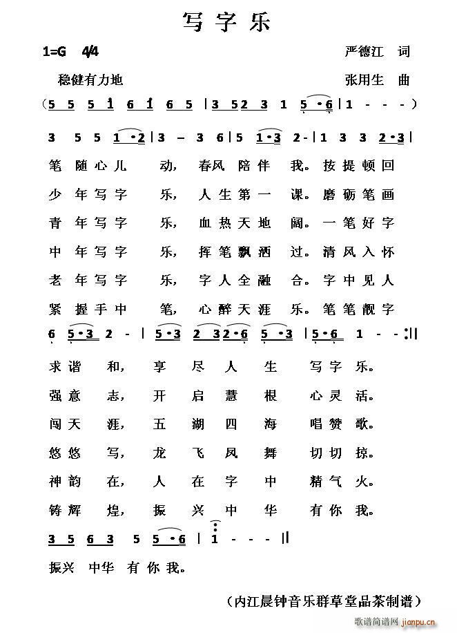
写字乐
艺术家/歌手/词曲: 张用生 严德江
点击:
(网络)
其他相关
简谱/曲谱
[三字歌谱]写字乐
[三字歌谱]写字歌
[七字歌谱]写字要先写好一
[七字歌谱]写字歌 (丁小栩 丁恩昌词 张朱论曲) 王诗淇
[八字歌谱]写字歌(儿童歌曲)
[六字歌谱]小学生写字歌
[钢琴谱]乐 stvenLi
[三字歌谱]大家乐
[七字歌谱]快也乐 慢也乐( 独唱) 民通
[二胡谱]湘江乐 未知
[二胡谱]湘江乐 未知
[二胡谱]湘江乐[二胡曲谱] 未知
[三字歌谱]歌剧《二龙湾》含1-25
[三字歌谱]歌剧《光荣花》1-25剧本
[三字歌谱]张公山 城中山
[三字歌谱]望长城
[三字歌谱]歌剧《茶花女》含目录1-30
返回歌谱简谱网首页
音乐图书