当前位置:
歌谱简谱网
>
三字歌谱
> 月光草
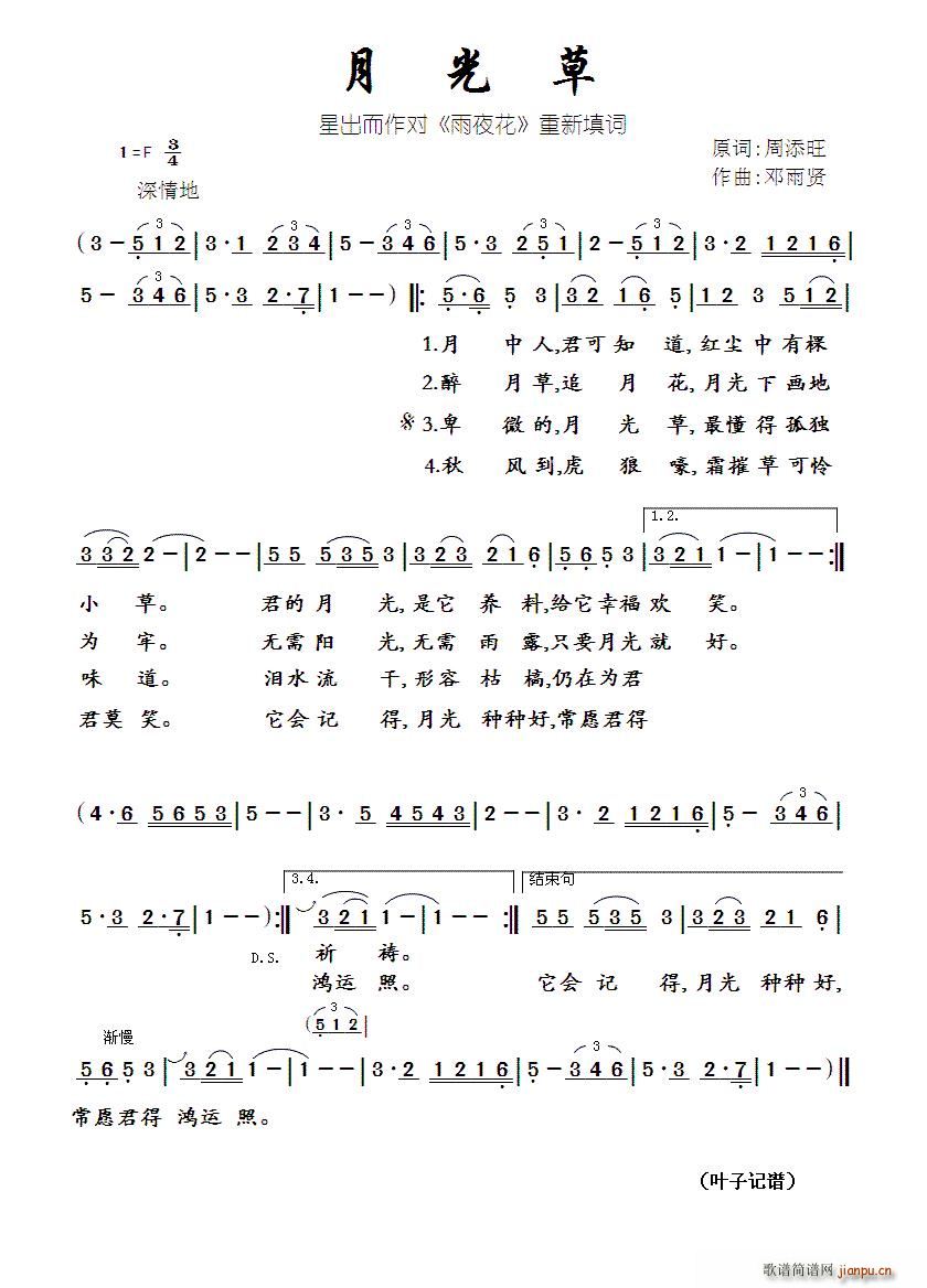
月光草
艺术家/歌手/词曲: 星出而作
点击:
(叶子)
其他相关
简谱/曲谱
[三字歌谱]月光草
[二字歌谱]小草
[电子琴谱]小草(《芳草心》插曲)[电子琴谱] 未知
[电子琴谱]小草 未知
[电子琴谱]小草(《芳草心》插曲)
[吉他谱]小草 未知
[吉他谱]小草 未知
[吉他谱]小草 房新华
[二字歌谱]小草 未知
[二字歌谱]小草
[二字歌谱]小草
[二字歌谱]小草(《芳草心》插曲) 董文华
[三字歌谱]歌剧《二龙湾》含1-25
[三字歌谱]歌剧《光荣花》1-25剧本
[三字歌谱]张公山 城中山
[三字歌谱]望长城
[三字歌谱]歌剧《茶花女》含目录1-30
返回歌谱简谱网首页
音乐图书