当前位置:
歌谱简谱网
>
三字歌谱
> 彼之爱
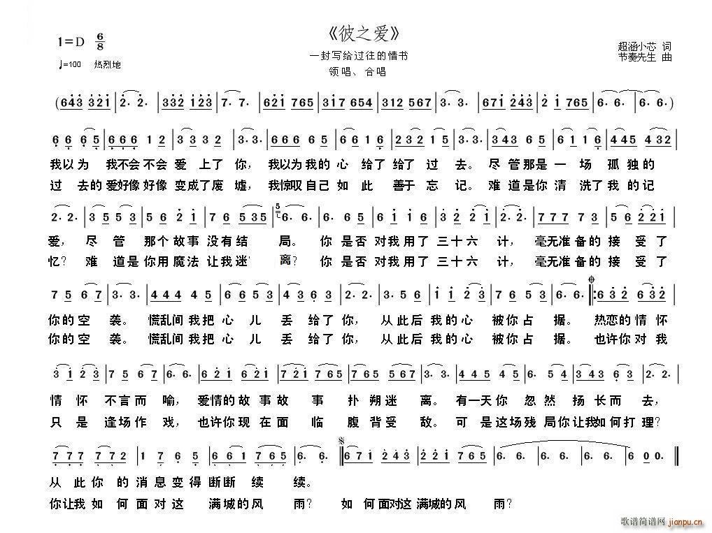
彼之爱
艺术家/歌手/词曲: 超涵小蕊
点击:
(乐乐呵呵)
其他相关
简谱/曲谱
[三字歌谱]彼之爱
[三字歌谱]彼句话 闽南语 林清国
[七字歌谱]738我家在彼 未知
[三字歌谱]彼头士
[四字歌谱]彼女の夏 动漫
[钢琴谱]她和她的猫 彼女と彼女の猫 动漫
[钢琴谱]ふたり-最终兵器彼女 未知
[钢琴谱]心の影-最终兵器彼女 未知
[钢琴谱]彼女の夏 Buzzer Beat 零秒出手 动漫
[钢琴谱]【东方】~U.N.オーエンは彼女なのか? 东方project
[钢琴谱]【HARD】UNオーエンは彼女なのか (Flandre Scarlet) Flandre Scarlet
[总谱]东方 前方高能 鬼畜 U N オーエンは彼女なのか 东方project
[三字歌谱]歌剧《二龙湾》含1-25
[三字歌谱]歌剧《光荣花》1-25剧本
[三字歌谱]张公山 城中山
[三字歌谱]望长城
[三字歌谱]歌剧《茶花女》含目录1-30
返回歌谱简谱网首页