当前位置:
歌谱简谱网
>
总谱
> 胜利(十二乐坊演奏谱)
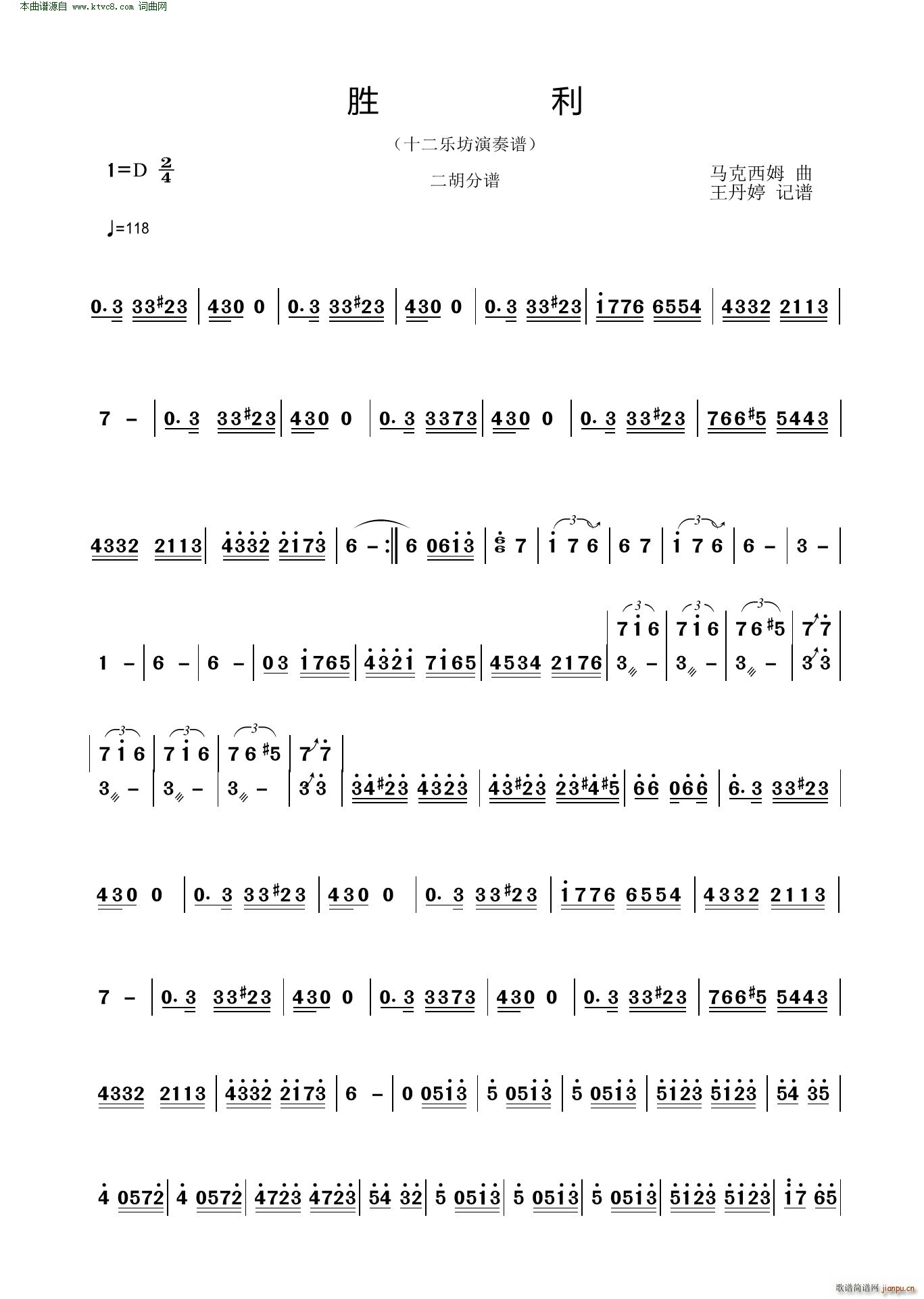
胜利(十二乐坊演奏谱)
艺术家/歌手/词曲:
点击:
(王丹婷)
其他相关
简谱/曲谱
[总谱]胜利(十二乐坊演奏谱)
[十字及以上]追逐(女子十二乐坊演奏旋律谱)
[二胡谱]女子十二乐坊《自由》
[钢琴谱]世上唯一的花-女子十二乐坊 未知
[十字及以上]地上の星--( 音乐第一部分) 女子十二乐坊
[十字及以上]地上の星2--( 音乐) 女子十二乐坊
[十字及以上]地上の星1--( 音乐) 女子十二乐坊
[笛箫谱]车站(十二 ) 乐器谱
[吉他谱]重金属吉他演奏示范 (十二、电线)
[吉他谱]重金属吉他演奏示范 (十一、胜利之战)
[笛箫谱]演奏谱 阳生
[笛箫谱]天路(十二孔 ) 乐器谱
[总谱]孔雀迎春
[总谱]人民海军向前进 (军乐总谱)
[总谱]新年礼物
[总谱]序奏曲
[总谱]谐虐曲
返回歌谱简谱网首页