当前位置:
歌谱简谱网
>
八字歌谱
> 晨读对韵歌(醋部)
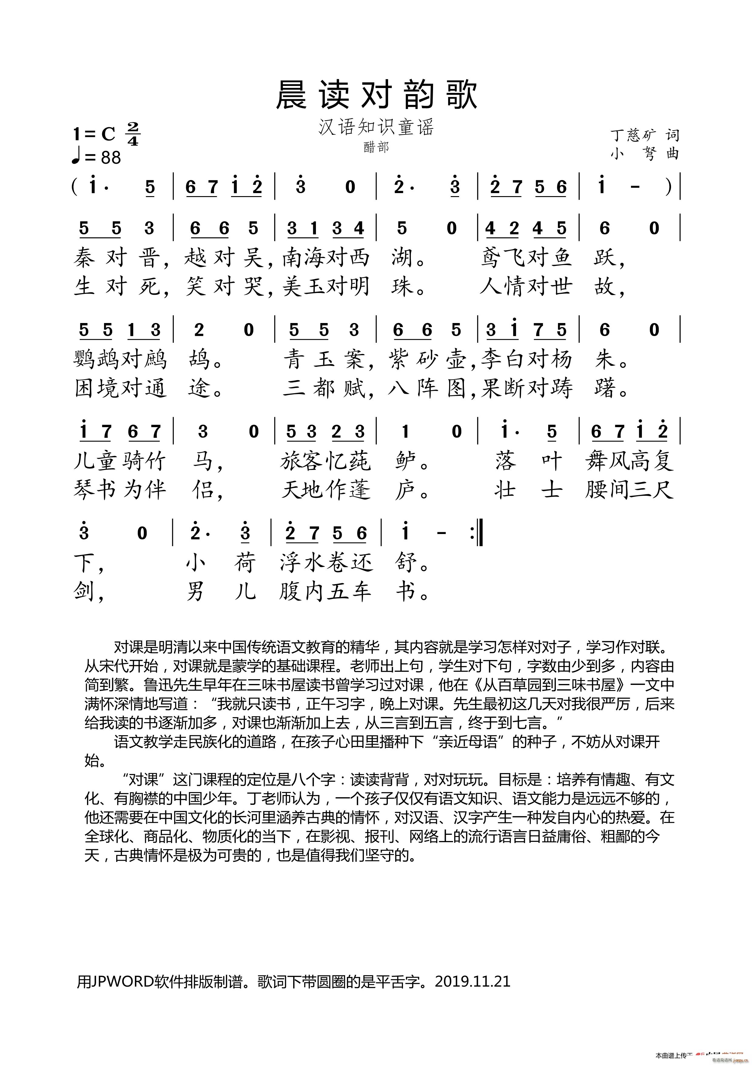
晨读对韵歌(醋部)
艺术家/歌手/词曲: 丁慈矿
点击:
(小弩)
其他相关
简谱/曲谱
[八字歌谱]晨读对韵歌(醋部)
[八字歌谱]晨读对韵歌(火部)
[四字歌谱]晨读对韵
[合唱谱]晨读的小姑娘(合唱)
[七字歌谱]爱晨读的小姑娘 刘志毅 词 曲
[电子琴谱]为何对我这么好 AmySand
[钢琴谱]为何对我这么好 盛晓玫
[七字歌谱]为何对我这么好 未知
[七字歌谱]为何对我这么好(1) 未知
[七字歌谱]为何对我这么好 未知
[钢琴谱]你对我的好
[六字歌谱]有个人对我好[彩谱] 陈妃平
[八字歌谱]这是我的母亲中国
[八字歌谱]牢记“两个务必” 杨洪基
[八字歌谱]理想在岗位上闪光
[八字歌谱]把你的山歌甩过来
[八字歌谱]总书记和咱过大年
返回歌谱简谱网首页