当前位置:
歌谱简谱网
>
七字歌谱
> 余生相伴爱悠悠
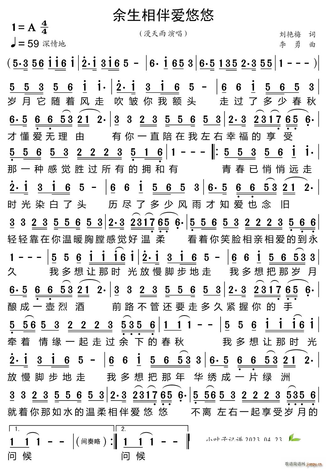
余生相伴爱悠悠
艺术家/歌手/词曲:
漫天雨
刘艳梅
点击:
(搜谱网)
其他相关
简谱/曲谱
[七字歌谱]余生相伴爱悠悠 漫天雨
[吉他谱]爱后余生 (谢霆锋) 未知
[吉他谱]爱后余生(粤语) 未知
[四字歌谱]爱后余生
[吉他谱]爱后余生(粤语) 谢霆锋
[四字歌谱]爱后余生(粤语)
[吉他谱]爱后余生 谢霆锋
[吉他谱]爱后余生 谢霆锋
[吉他谱]爱后余生 谢霆锋
[五字歌谱]余生好好爱 丁童
[六字歌谱]余生好好爱你 梅朵
[六字歌谱]情悠悠爱悠悠
[七字歌谱]春天新歌有多少(丁志刚词 唐新成曲)
[七字歌谱]辉煌奋进大渡口 胡琳 词 张朱论 曲
[七字歌谱]叶塞尼亚完整版 世界名曲
[七字歌谱]镰刀铁锤有多重(宋小明词 李云涛曲)
[七字歌谱]南粤志愿者之歌 倪永东 词 张朱论 曲
返回歌谱简谱网首页