当前位置:
歌谱简谱网
>
八字歌谱
> 我的前生是孔乙己
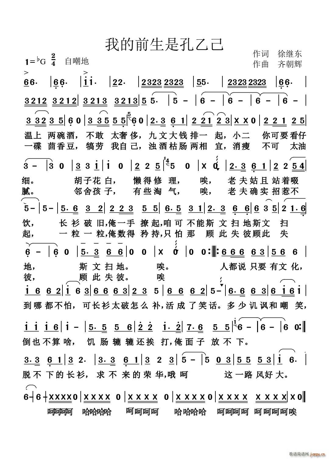
我的前生是孔乙己
艺术家/歌手/词曲: 齐朝辉 徐继东
点击:
(齐朝辉)
其他相关
简谱/曲谱
[八字歌谱]我的前生是孔乙己
[越剧曲谱]大道不行桴于海( 唱段) 越剧戏谱 孔乙己
[五字歌谱]前生的印记 梁杰
[四字歌谱]前生有缘 — 邓丽君
[笛箫谱]前生有缘(邓丽君)
[古筝扬琴谱]前生有缘
[豫剧曲谱]豫剧 姻缘事是前生定
[钢琴谱]妲己之殇
[吉他谱]情非得己 卢家宏
[十字及以上]你知不知道我己经长大 颂今音乐
[越剧曲谱]说什么姻缘本是前生定(《追鱼》唱段) 徐玉兰
[九字歌谱]为悦己者容(完整版)(陈立志词 杨蔺曲) 崔子格
[八字歌谱]无限 (第668首)
[八字歌谱]我是快乐的快递歌
[八字歌谱]春是你我冬奥歌曲 杨洪基
[八字歌谱]古琴勾的指法练习
[八字歌谱]西缅 (第673首)
返回歌谱简谱网首页