当前位置:
歌谱简谱网
>
六字歌谱
> 光荣的航天人
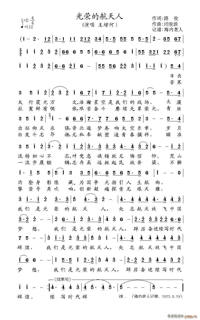
光荣的航天人
艺术家/歌手/词曲:
王增何
路 俊
点击:
(海内老人)
其他相关
简谱/曲谱
[六字歌谱]光荣的航天人 王增何
[六字歌谱]光荣啊航天人 黎光
[六字歌谱]我们是航天人
[三字歌谱]航天人 李鳌
[笛箫谱]光荣 BOBO
[吉他谱]光荣(吉他谱) BOBO
[吉他谱]光荣 BoBo
[吉他谱]光荣 BOBO
[吉他谱]光荣 bobo
[四字歌谱]航天人赞 曲丹
[四字歌谱]航天战歌
[四字歌谱][民歌] 回味航天 ] 草原曲
[六字歌谱]只要春天还在 崔叶华
[六字歌谱]咱的天闽南语 张燕清
[六字歌谱]仰似会字头歌
[六字歌谱]民勤教育之歌 李玉寿词曲
[六字歌谱]筠连小吃串串
返回歌谱简谱网首页